中华人民共和国政府信息公开网 | 陕西省政府信息公开网 | 汉中市政府信息公开网 | 略阳县电子政务频道
 首页 | 政府领导 | 概况信息 | 政府文件 | 法律法规 | 规划计划 | 财政信息 | 人事信息 | 应急管理 | 重点领域 | 行政权力 | 目标责任考核 
今天是:  
 
当前位置: 首页>>公开信息内容
 
 
 
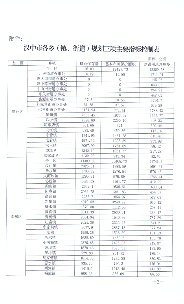
汉中市人民政府关于汉台区等11县区乡级土地利用总体规划(2006-2020年)调整完善成果的批复
索引号: 01604436-6-05_A/2018-0626002 公开目录: 发展规划 发布日期: 2018年06月26日
有效性: 发布机构: 乐素河镇 文    号:
 

       
 
联系我们 | 网站申明 | 网站地图 | 内网管理入口
 
您好!你是第 位访问本站的人!

中共略阳县委、略阳县人民政府主办   略阳县信息化工作办公室建设运行
E-mail:
lueyang@126.com   TEL:0916-4831907   0916-4822514   FAX:0916-4822555
陕ICP备05006588号  汉中市国际互联网站备案号:6123011